今年春天
在艰苦卓绝的大上海保卫战中
全市27.3万名青年志愿者
2400余支社区青年志愿服务队
奋战在抗疫一线
核酸检测辅助,他们在!
流调追踪,他们在!
物资运送,他们在!
每一个岗位都能看到他们的身影
他们用行动
奏响属于当代青年的“时代强音”
跑出不一般的“青春速度”
为更好总结大上海保卫战中青年志愿服务工作的做法经验,引领动员青年志愿者在常态化疫情防控中持续贡献青春力量,8月12日下午,团市委召开上海战“疫”青年志愿者代表座谈会。

来自社区、行业、高校、
青年社会组织和媒体等领域的
青年志愿者代表
围绕疫情期间的志愿服务经历
分享了他们的战“疫”故事

经此一役
我们比以前更清楚
什么是家国情怀
——冯艾丽
上海市建筑科学研究院有限公司建筑师

3月下旬,我承担起运“蔬”侠江苏路领队一职。当我送物资至老旧小区弄堂口,看到那些来不及搭建临时帐篷,在寒风中守望的防疫人员时候,我感受到信念;当我骑着小电驴形单影只地行驶在空荡荡的马路上调度物资车的时候,我感受到壮烈;当我看到街道干部熬红着眼睛,早上组织运输,晚上清点数据,深夜与各居民区对接联系,生怕耽误物资新鲜度的时候,我感受到责任。经此一役,我们比以前更清楚什么是家国情怀,8月的上海已逐渐恢复往日的繁华和喧闹,我们这些志愿者们在工作之余还是会积极参与常态化的疫情防控工作。

疫情期间的骨干队伍
凝聚建设成为
常态化防疫的“第二梯队”
——王见
普陀区政务服务中心副主任

在疫情期间,我担任社区的临时志愿服务组组长,带领692名社区志愿者,共同奋战在社区抗疫一线。66个日夜的携手奋战,让我们这支队伍产生了极强的凝聚力,为疫情常态化的“第二梯队”建设打下了良好的基础。在疫情常态化后,要持久的留住队伍,应该在拓展线上志愿服务、提供更多平台展示、激励政策持久助力等方面想办法、下功夫,动员更多社区青年愿意参与到社区治理,进一步扎稳第二梯队的根基。

白熊卫士不仅是一支团队
更是一种精神
——朱婷婷
白熊·青之家志愿服务队队员
青浦区赵屯小学教师

2020年初,为了迎击刚刚爆发的新冠疫情,一群来自各行各业的青年组建了白熊团队。2022年上海疫情暴发,白熊团队再次响应号召,迅速集结一支又一支小分队,第一时间冲在战疫一线。从白昼到黑夜,不管刮风下雨还是寒风刺骨,没有间断过服务,收发抗原、维持秩序、核酸扫码、收运垃圾、运输物资、门岗值守、村居巡逻等等,一样不落下。在封控时间里,白熊团队130名队员参与服务总时长达2.6万小时,服务约68万人次。常态化阶段,很多白熊卫士也依然坚持在各类防疫志愿岗位上发光发热。

新时代的大学生就是
甘奉献、勇担当、有情怀的
先锋分子!
——王思懿
上海交通大学药学院硕士研究生

交大校园闭环时,我作为楼长,协调组织层长、寝室长和其他志愿者为全楼400余名同学配发一日三餐、防疫物资、生活用品,组织清洁消杀,做好门禁管理;同时也担任校园核酸检测工作组的负责人,承担起志愿者招募和核酸检测工作的组织,我和小伙伴们从3月初工作至今,服务师生逾百万人次,累计服务总时长超8万小时。我们深刻认识到,新时代的大学生就是甘奉献、勇担当、有情怀的先锋分子!

“小青菜联盟”
运送的是蔬菜
保障的是生活
——袁玉婷
上海浦东新区全欣公益服务中心理事长

我们连夜加入了由团市委组织的“小青菜联盟”,依托联盟平台和资源,在浦东51处封控小区开展物资保供,累计配送蔬菜、肉类、鸡蛋等物资50000户,110余万斤,深入社区建立买菜群,根据群内居民需求做好保供。“小青菜联盟”这一创举,也得到了央媒等各大媒体的关注,取得了实实在在的成效。

没想到一条短短的视频
却能雪中送碳
——李姬芸
上海广播电视台融媒体中心法治部副主任

我第一次做志愿者时,夜里穿着羽绒服依然瑟瑟发抖,嗓子哑了,手冻僵了,腰酸背痛。疫情期间,我成为了一名“公益团长”,一共开团了40多次,还利用休息时间和五一假期给小区里的老人、孩子免费理发,一天深夜一位居民突发梅尼埃症,求助信息发到团购后,半个多小时就有不少邻居拿出了自己的药给她送过去。南汇瓜农的甜瓜滞销,我制作了短视频进行推广,短短3天就销出了45000多斤,没想到一条短视频竟然能够帮助到心急如焚的瓜农。真是太有意义了!

谢谢你们来过上海!
——晏秋秋
新民晚报运营协调部主任

作为媒体人,应该发挥好体制优势,有效传播正能量,更多通过点亮式公益活动,让社会变得更和谐,人心变得更美好。当我从同事口中得知虹桥火车站外有大量滞留者时,立马就想我们能做些什么?在“520”这个特殊的日子,我们把300盒方便面、300根火腿肠,4个装满开水的大水桶,费尽心思地搬运到虹桥火车站外,当场冲泡这300盒方便面,一一送给滞留者。目光所至,很多滞留者都疲惫、无奈、甚至有一点点伤心,但我们依旧想对每一个即将离开上海的人说:谢谢你们来过上海!上海这座城市,绝不冰冷。人人都散发一点热能,就能驱赶寒冬。

让青年志愿工作
充满“上海温度”
——陈林
上海市警官专业技术学院团委负责人

我单位派出6批次共280名青年志愿者先后驰援黄浦疾控中心、浦东北蔡地区、黄浦半淞园街道,与疾控和街道居委并肩作战、共经风雨。记得深夜核酸检测排队,有孩子哭闹不停,我们志愿者在大白防护服上画上皮卡丘、奥特曼。大白从孩子们眼中“可怕的、么的感情的大白叔叔”变成了亲切的“皮卡丘哥哥”、“奥特曼哥哥”。笑声冲淡了队伍当中的焦躁情绪,家长和周围排队的居民纷纷为这种充满“上海温度”的工作方式点赞,工作更加顺畅了,效率也就提高了。
越是在关键时刻
青年朋友越要
敢于执旗、勇于亮剑!
——王向导
徐汇区政协委员、区青联委员
上海大岂网络科技有限公司董事长

在大上海保卫战中,许多青年人挺身而出,不惧风险,争相到党和人民群众最需要的地方去。浦西封控后,我第一时间到居民区报到,参加徐汇青年抗疫志愿者突击队,参与流调工作以及枫林、斜土、龙华3个街道的居民代配药任务,撰写相关助企纾困政策建议。我感受到越是在关键时刻,青年朋友越要敢于执旗、勇于亮剑,拿出冲劲、闯劲、韧劲,把担子扛在肩上,冲锋在第一线!
十几辆满载的卡车面前
渺小的志愿者
都可以化身“愚公”
——马晨捷
上海城投公路投资(集团)有限公司团委书记
第三事业部综合办公室高级主管

疫情期间我们接到任务,3万份蔬菜礼包需要紧急装卸,青年志愿者们摩拳擦掌、跃跃欲试。在十几辆满载的卡车面前,53名志愿者显得多么渺小。队员们穿着厚重的防护设施,打响了蔬菜保卫战,化身“愚公”硬是把这蔬菜山给搬完了,脖子晒伤、腰背拉伤,没人喊一声疼;汗如雨下、体力透支,没人喊一声累。当工作人员对我们翘起大拇指的时候,我们笑了;当我们看到身处当地的亲朋、同事发朋友圈收到蔬菜的时候,我们的眼眶红了。

团市委副书记、市青联主席丁波表示,要沉淀和延续大上海保卫战的经验和做法,为下一步统筹常态化疫情防控和经济社会发展,进一步提升社区治理水平,更好发挥青年志愿服务的作用。
要“团结一群人”
把更多社区青年团结起来,把保卫战中小区的达人、能人留下来,建立多层次青年志愿者名单体系。
要“稳住一批岗”
更为全面地梳理常态化志愿服务岗位,更为科学地储备应急志愿服务岗位。
要“建好一张网”
搭建好各层级青年志愿服务网络体系,形成日常联系、常态管理、应急指挥、服务保障等网络体系。
要“留住一份情”
以情动人、以情化人,更有效地开展精神鼓励和典型选树,让志愿服务成为青年体现自我价值、乐于发光发热的舞台。

会上为志愿者代表颁发“上海疫情防控青年志愿者证书”
还没领取
“上海疫情防控青年志愿者证书”
的志愿者们
还不快点击下方链接领取
☞走!咱们领证去~
本期的
上海共青团微信公众号影响力排行榜
准时出炉啦!
赶紧来看↓

一周点评
☆ 优秀青年需要出圈、需要实践机会,好的新媒体传播便是架起了这样一座桥。嘉定青年发布《【青春志愿行】这个夏天不一般 ——新成路街道大学生志愿者奋战抗疫第一线》,让更多的有志青年了解该项目,进而参与其中;上铁青年发布了《淬炼青春,芳华有为,集团公司第19期青年人才培训班圆满落幕!》,注重现场感的展现,将思想引领工作融入岗位建功。

参加“回嘉行动”的大一学生支嫣岚积极参与疫情防控志愿服务
☆ 美观、舒适、易读的推送总是会格外吸引人。华政青年发布了《建校70周年倒计时百天,ECUPLer快点击验证!》,利用SVG动画与读者产生互动,乐趣满满;庭前独角兽发布的《一个故事,四个版本,你信谁?| 庭前独角兽》,用舒适大方地排版向我们科普了法律的相关知识。

创意SVG为华政70周年校庆预热(点击上图有惊喜)
☆ 此外,本周还有多篇文章登上热文榜。分别是上海地铁青年发布的《力保安全生产,践行青春使命!一起为“青安岗”创评集体投票点赞!》、华政青年发布的《突破100000+!!!》、青春长宁发布的《共青团上海市长宁区第十六次代表大会将于今年9月下旬召开!》、上铁青年发布的《你好星期六,相约继续……》。
一周榜单




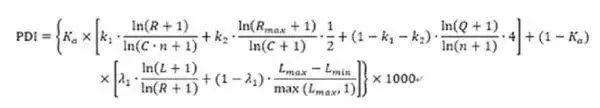
PDI指数是什么
青春上海携手上海交通大学大数据与传播创新实验室(T-Lab)打造全新的PDI(Pandata Index)全景数据评估指数,拒绝过度关注点赞数,更认真地统计峰值,认同潜力值,立志于更科学地为新媒体传播做测算:

文章发布时段:2022年8月7日~2022年8月13日
数据收录时间:2022年8月15日 10:00
数据汇总:张璐 制表:吴佳斐
点评/整理:贝塔、青春上海实习生 卜凡
责任编辑:陈思焙
校审:姚佳森
终审:许晔婷